看起來你不是TradeKey.com的會員。 立即註冊,與全球超過7百萬的進口商和出口商建立聯繫。 立即加入 |
BOOK A CALL
Book Call On Your Favorite Time

By Signing Up. I agree to TradeKey.com Terms of Use, Privacy Policy, IPR and receive emails related to our services

Contact Us
product
Prev
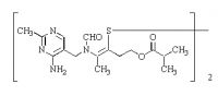
Benfotiamine
Next

Benfotiamine

离岸价格

获取最新报价

|

25kgs Minimum Order

国家:

China

型号:

Feed Additives

离岸价格:

获取最新报价

位置:

SHANGHAI

最小订单价格:

-

最小订单:

25kgs

包装细节:

-

交货时间:

-

供应能力:

1000kgs/month

付款方式:

-

產品組 :

-

现在联系
免费会员

联系人 Mr. Waseem

218 Fengxian, Shanghai, Shanghai

现在联系

产品规格

详情

benfotiamine , a lipid-soluble from of vitamin B1, was developed in Japan in the late ***0`s, it's has been in widespread use in Japan since ***2 and in Europe since ***2 with encouraging results . benfotiamine was used to treat alcoholic neuropathy , sciatica can also block damage by hyperglycemia . it can prevent toe prevent and end the ravage of diabetic neuropathy . it is effective in the treatment of diabetic polyneuropathy and can also act as a new approach to stopping and preventing diabetic retinopathy . apart from the above , benfotiamine also delays the formation of advanced glycosylation end-products and inhibits formation of advanced glycation end products. moreover , benfotiamine is indicated in end-stage renal disease, which suggests that diabetic nephropathy can be prevented and alleviated. benfotiamine is different from vitamin B1. it can be absorbed by the body better than thiamine itself , and levels of thiamine remain higher for longer , thiamine absorption from benfotiamine is about five times greater than from conventional thiamine supplements , the effect is even more impressive at the tissue level , hence , benfotiamine is much more effective than itself and other lipid forms of thiamine , in the meanwhile , benfotiamine is actually less toxic than conventional thiamine supplements , and suitable , and suitable for the big-dosage benfotiamine , a lipid-soluble from of vitamin B1, was developed in Japan in the late ***0`s, it's has been in widespread use in Japan since ***2 and in Europe since ***2 with encouraging results . benfotiamine was used to treat alcoholic neuropathy , sciatica can also block damage by hyperglycemia . it can prevent toe prevent and end the ravage of diabetic neuropathy . it is effective in the treatment of diabetic polyneuropathy and can also act as a new approach to stopping and preventing diabetic retinopathy . apart from the above , benfotiamine also delays the formation of advanced glycosylation end-products and inhibits formation of advanced glycation end products. moreover , benfotiamine is indicated in end-stage renal disease, which suggests that diabetic nephropathy can be prevented and alleviated. benfotiamine is different from vitamin B1. it can be absorbed by the body better than thiamine itself , and levels of thiamine remain higher for longer , thiamine absorption from benfotiamine is about five times greater than from conventional thiamine supplements , the effect is even more impressive at the tissue level , hence , benfotiamine is much more effective than itself and other lipid forms of thiamine , in the meanwhile , benfotiamine is actually less toxic than conventional thiamine supplements , and suitable , and suitable for the big-dosage

国家: China
型号: Feed Additives
离岸价格: 获取最新报价
位置: SHANGHAI
最小订单价格: -
最小订单: 25kgs
包装细节: -
交货时间: -
供应能力: 1000kgs/month
付款方式: -
產品組 : -

Send a direct inquiry to this supplier

至:

Mr. Waseem < Shanghai Electrical Machinery Group Co., Ltd >

我想知道: